You have no items in your shopping cart.
Rat 8-OHdG ELISA Kit
Description
Research Area
Images & Validation
−
| Application Notes |
|---|
Key Properties
−| Reactivity | Rat |
|---|---|
| Sample Types | serum, plasma, cell culture supernates, tissue homogenates |
| Assay Type | Sandwich |
| Assay Time | 1-5h |
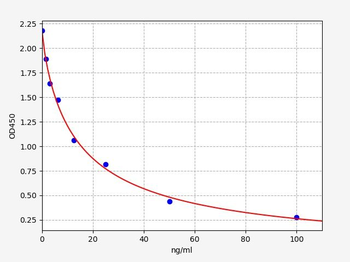
| Range | 0.312 ng/mL-20 ng/mL |
| Sensitivity | 0.078 ng/mL |
Storage & Handling
−| Storage | Refer to the Storage Guidelines in the Manual |
|---|---|
| Expiration Date | Please enquire. |
| Disclaimer | For research use only |
Similar Products
−Rat 8-Hydroxydeoxyguanosine (8-OHdG) ELISA Kit [orb2810287]
Rat
93.75-6000pg/mL
46.6pg/mL
5 x 96 T, 48 T, 96 T

Quality Guarantee
Explore bioreagents carefree to elevate your research. All our products are rigorously tested for performance. If a product does not perform as described on its datasheet, our scientific support team will provide expert troubleshooting, a prompt replacement, or a refund. For full details, please see our Terms & Conditions and Buying Guide. Contact us at [email protected].
Quick Database Links
Documents Download
Request a Document
Protocol Information
Hou, Biyu et al. Salvianolic Acid A Protects Against Diabetic Nephropathy through Ameliorating Glomerular Endothelial Dysfunction via Inhibiting AGE-RAGE Signaling Cell Physiol Biochem, 44, 2378-2394 (2017)
Rat 8-OHdG ELISA Kit (orb410579)
Participating in our Biorbyt product reviews program enables you to support fellow scientists by sharing your firsthand experience with our products.
Login to Submit a Review
