You have no items in your shopping cart.
SM-102
SKU: orb1298110
Featured
Description
Research Area
Metabolism Research
Images & Validation
−Item 1 of 1
Key Properties
−| CAS Number | 2089251-47-6 |
|---|---|
| MW | 710.17 |
| Purity | 99.75% (May vary between batches) |
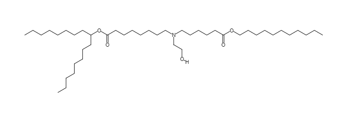
| Formula | C44H87NO5 |
| SMILES | CCCCCCCCCCCOC(=O)CCCCCN(CCO)CCCCCCCC(=O)OC(CCCCCCCC)CCCCCCCC |
| Target | Liposome,Others |
| Solubility | DMSO: 55 mg/mL (77.45 mM), Sonication is recommended. Ethanol: 100 mg/mL (140.81 mM), Sonication is recommended. |
Bioactivity
−| Target IC50 | |
|---|---|
| In Vitro |
Storage & Handling
−| Storage | Pure form: -20°C for 3 years | In solvent: -80°C for 1 year |
|---|---|
| Expiration Date | 12 months from date of receipt. |
| Disclaimer | For research use only |
Alternative Names
−SM102, SM-102, SM 102, vaccines, COVID-19, delivery, mRNA, lipid nanoparticle, inhibit, Inhibitor
Similar Products
−
Quality Guarantee
Explore bioreagents carefree to elevate your research. All our products are rigorously tested for performance. If a product does not perform as described on its datasheet, our scientific support team will provide expert troubleshooting, a prompt replacement, or a refund. For full details, please see our Terms & Conditions and Buying Guide. Contact us at [email protected].

Chemical Structure of orb1298110
Compound Identifiers
PubChem CID
Key Properties
− No computed properties available.
Protocol Information
SM-102 (orb1298110)
Based on 0 reviews
Participating in our Biorbyt product reviews program enables you to support fellow scientists by sharing your firsthand experience with our products.
Login to Submit a Review
