You have no items in your shopping cart.
Human Thromboxane B2 (TXB2) ELISA Kit
SKU: orb1807100
Featured
Description
Research Area
Metabolism Research, Signal Transduction
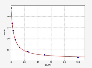
Images & Validation
−Item 1 of 1
| Application Notes |
|---|
Key Properties
−| Reactivity | Human |
|---|---|
| Sample Types | plasma |
| Assay Type | Competitive |
| Assay Time | 1.5H |
| Range | 78.13-5000pg/mL |
| Sensitivity | 4.63 pg/mL |
Storage & Handling
−| Storage | Refer to the Storage Guidelines in the Manual |
|---|---|
| Disclaimer | For research use only |
Alternative Names
−TX-B2
Similar Products
−
Quality Guarantee
Explore bioreagents carefree to elevate your research. All our products are rigorously tested for performance. If a product does not perform as described on its datasheet, our scientific support team will provide expert troubleshooting, a prompt replacement, or a refund. For full details, please see our Terms & Conditions and Buying Guide. Contact us at [email protected].

Quick Database Links
Gene Symbol
TXB2
Protocol Information
Human Thromboxane B2 (TXB2) ELISA Kit (orb1807100)
Based on 0 reviews
Participating in our Biorbyt product reviews program enables you to support fellow scientists by sharing your firsthand experience with our products.
Login to Submit a Review
