You have no items in your shopping cart.
Rat Bradykinin (BK) ELISA Kit
SKU: orb1806846
Featured
Description
Research Area
Gastroenterology & Hepatology, Infectious Disease & Virology, Protein Biochemistry
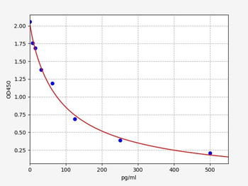
Images & Validation
−Item 1 of 1
| Application Notes |
|---|
Key Properties
−| Reactivity | Rat |
|---|---|
| Sample Types | serum, plasma, Tissue homogenate and Other biological samples |
| Assay Type | Competitive |
| Assay Time | 1.5H |
| Range | 1.25-80ng/mL |
| Sensitivity | 0.75 ng/mL |
Storage & Handling
−| Storage | Refer to the Storage Guidelines in the Manual |
|---|---|
| Expiration Date | 6 months from date of receipt. |
| Disclaimer | For research use only |
Alternative Names
−BK
Similar Products
−Rat Bradykinin ELISA Kit [orb411274]
Rat
0.78 pg/mL-50 pg/mL
0.195 pg/mL
24 T, 48 T, 10 x 96 T, 96 T, 5 x 96 TRat B1 bradykinin receptor (BDKRB1) ELISA Kit [orb2810040]
Rat
0.156-10ng/mL
0.071ng/mL
5 x 96 T, 48 T, 96 T

Quality Guarantee
Explore bioreagents carefree to elevate your research. All our products are rigorously tested for performance. If a product does not perform as described on its datasheet, our scientific support team will provide expert troubleshooting, a prompt replacement, or a refund. For full details, please see our Terms & Conditions and Buying Guide. Contact us at [email protected].

Quick Database Links
Gene Symbol
BK
Protocol Information
Rat Bradykinin (BK) ELISA Kit (orb1806846)
Based on 0 reviews
Participating in our Biorbyt product reviews program enables you to support fellow scientists by sharing your firsthand experience with our products.
Login to Submit a Review
