You have no items in your shopping cart.
Rat Dehydroepiandrosterone Sulfate (DHEA-S) ELISA Kit
SKU: orb1946811
Featured
Description
Research Area
Gastroenterology & Hepatology, Metabolism Research
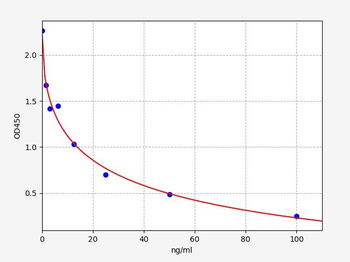
Images & Validation
−Item 1 of 1
| Application Notes |
|---|
Key Properties
−| Reactivity | Rat |
|---|---|
| Sample Types | serum, plasma, Tissue homogenate and Other biological samples |
| Assay Type | Competitive |
| Assay Time | 1.5H |
| Range | 31.25-2000pg/mL |
| Sensitivity | 18.75 pg/mL |
Storage & Handling
−| Storage | Refer to the Storage Guidelines in the Manual |
|---|---|
| Disclaimer | For research use only |
Alternative Names
−Androstenolone sulfate; Prasterone sulfate; Androst-5-en-3β-ol-17-one 3β-sulfate
Similar Products
−Rat DHEA-S (Dehydroepiandrosterone Sulfate) ELISA Kit [orb1952786]
Rat
1.562-100ng/ml
0.938ng/ml
96 T, 48 T

Quality Guarantee
Explore bioreagents carefree to elevate your research. All our products are rigorously tested for performance. If a product does not perform as described on its datasheet, our scientific support team will provide expert troubleshooting, a prompt replacement, or a refund. For full details, please see our Terms & Conditions and Buying Guide. Contact us at [email protected].

Quick Database Links
Gene Symbol
DHEA-S
Protocol Information
Rat Dehydroepiandrosterone Sulfate (DHEA-S) ELISA Kit (orb1946811)
Based on 0 reviews
Participating in our Biorbyt product reviews program enables you to support fellow scientists by sharing your firsthand experience with our products.
Login to Submit a Review
